Splošni končni avtomati
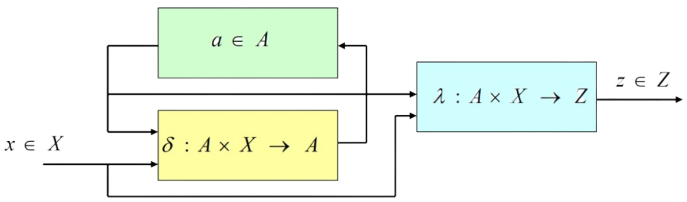
Končni avtomat :
- … neprazna končna množica vhodnih črk - vhodna abeceda
- … neprazna končna množica notranjih črk - notranja abeceda
- … končna množica izhodnih črk - izhodna abeceda
- … funkcija podajanja stanj, ki na osnovi vhodne in notranje črke poda novo notranjo črko
- … izhodna funkcija, ki na osnovi vhodne in notranje črke poda izhodno črko

Vhodna beseda: časovno zaporedje vhodnih črk
Notranja beseda: časovno zaporedje notranjih črk kot posledica prehajanja stanj avtomata
Zunanja beseda: časovno zaporedje izhodnih črk kot posledica prehajanja stanj avtomata in vhodnih črk
Diagram prehajanja stanj - grafična predstavitev

Tabelarična predstavitev

Moorovi in Mealyjevi končni avtomati
Moorov avtomat
:

Mealyjev avtomat
:
Pretvorba Moorovega v Mealyjev avtomat
Začetno stanje Moorovega stanje je definirano, pri Mealyjevem avtomatu pa se pojavi šele pri prvi vhodni črki.
Pretvorba Mealyjevega v Moorov avtomat
Množico notranjih stanj Moorovega avtomata tvorijo pari notranjega stanja in izhodne črke Mealyjevega avtomata:
Ekvivalenca končnih avtomatov
Končna avtomata sta ekvivalentna, če imata pri istem vhodnem zaporedju črk enako izhodno zaporedje črk
Pri primerjavi Moorovega in Mealyjevega avtomata je potrebno paziti, da Mealyjev avtomat generira izhodno črko šele, ko se na vhodu pojavi prva vhodna črka - izhod je zakansnjen za 1 znak
Vezava avtomatov
Zaporedno ali vzporedno vežemo vhode in izhode avtomatov
Novo stanje skupka avtomatov
Zaporedna vezava avtomatov
, ,
Vzporedna vezava avtomatov
, ,
Dekompozicija in minimizacija avtomatov
Particije
-bločna particija :
- Particija enote : vsi elementi so v enem bloku
- Particija niča : vsak element predstavlja svoj blok
Operacije:
- … če je v nekem bloku element, združiš vse bloke s tem elementom v en blok
Primeri particij in operacij nad njimi
Dekompozicija avtomata
Avtomat predstavimo z dvema “notranjima avtomatoma”, vsak od katerih ima množico notranjih stanj predstavljeno s particijo notranjih stanj osnovnega avtomata
Substitucijska značilnost: Iz istega bloka ob isti vhodni črki zmeraj ostanemo v istem bloku
Za particiji notranjih stanj in velja:
Serijska dekompozicija avtomata

Primer serijske dekompozicije Moorovega avtomata
Paralelna dekompozicija avtomata

Minimizacija
Avtomat predstavimo z novim avtomatom z manj stanji, ki pa je vseeno ekvivalenten osnovnemu avtomatu
- Stanja avtomata razdelimo na particije glede na izhodno črko
- Delitveni proces razdeli particijo na več blokov
- Ponavljamo zgornja koraka, dokler prehod iz več stanj pri isti vhodni črki ne vodi v enake znake
Primer minimizacije avtomata


